Download Certified Associate in Python Programming.PCAP.RealTests.2020-01-15.44q.vcex

Vendor: Python Institute
Exam Code: PCAP
Exam Name: Certified Associate in Python Programming
Date: Jan 15, 2020
File Size: 1 MB
Downloads: 6

How to open VCEX files?

Files with VCEX extension can be opened by ProfExam Simulator.

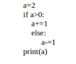
ProfExam Discount

Demo Questions

Question 1
What will the value of the i variable be when the following loop finishes its execution? 
  
  1. 10
  2. the variable becomes unavailable
  3. 11
  4. 9
Correct answer: B
Explanation:
Reference: https://www.programiz.com/python-programming/pass-statement
Reference: https://www.programiz.com/python-programming/pass-statement
Question 2
The following expression 
  
is:
  1. equal to 1
  2. invalid
  3. equal to 2
  4. equal to -1
Correct answer: D
Explanation:
  
  
Question 3
Which of the following literals reflect the value given as 34.23? (Select two answers)
  1. .3423e2
  2. 3423e-2
  3. .3423e-2
  4. 3423e2
Correct answer: AB
Explanation:
  
  
Question 4
What is the expected output of the following snippet? 
  
  1. 3
  2. 1
  3. 2
  4. the code is erroneous
Correct answer: A
Explanation:
  
  
Question 5
Assuming that the following snippet has been successfully executed, which of the equations are True? (Select two answers) 
  
  1. len(a) == len (b)
  2. b [0] +1 ==a [0]
  3. a [0] == b [0]
  4. a [0] + 1 ==b [0]
Correct answer: AC
Explanation:
  
  
Question 6
Assuming that the following snippet has been successfully executed, which of the equations are False? (Select two answers) 
  
  1. len(a)== len (b)
  2. a [0]-1 ==b [0]
  3. a [0]== b [0]
  4. b [0] - 1 ==a [0]
Correct answer: AB
Explanation:
  
  
Question 7
Assuming that String is six or more letters long, the following slice 
  
is shorter than the original string by:
  1. four chars
  2. three chars
  3. one char
  4. two chars
Correct answer: A
Question 8
What is the expected output of the following snippet? 
  
  1. 1
  2. 4
  3. 2
  4. 3
Correct answer: C
Explanation:
  
  
Question 9
What is the expected output of the following snippet? 
  
  1. abc
  2. The code will cause a runtime exception
  3. ABC
  4. 123
Correct answer: B
Explanation:
  
  
Question 10
How many elements will the list2 list contain after execution of the following snippet? 
  
  1. zero
  2. five
  3. seven
  4. three
Correct answer: C
Explanation:
  
  
HOW TO OPEN VCE FILES

Use VCE Exam Simulator to open VCE files
Avanaset

HOW TO OPEN VCEX AND EXAM FILES

Use ProfExam Simulator to open VCEX and EXAM files
ProfExam Screen

ProfExam
ProfExam at a 20% markdown

You have the opportunity to purchase ProfExam at a 20% reduced price

Get Now!