Download SAS Statistical Business Analysis SAS9: Regression and Model.A00-240.PracticeTest.2018-08-17.36q.vcex

Vendor: SASInstitute
Exam Code: A00-240
Exam Name: SAS Statistical Business Analysis SAS9: Regression and Model
Date: Aug 17, 2018
File Size: 2 MB

How to open VCEX files?

Files with VCEX extension can be opened by ProfExam Simulator.

ProfExam Discount

Demo Questions

Question 1
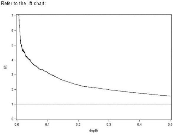
Refer to the lift chart: 
  
What does the reference line at lift = 1 corresponds to?
  1. The predicted lift for the best 50% of validation data cases
  2. The predicted lift if the entire population is scored as event cases
  3. The predicted lift if none of the population are scored as event cases
  4. The predicted lift if 50% of the population are randomly scored as event cases
Correct answer: B
Question 2
Suppose training data are oversampled in the event group to make the number of events and non-events roughly equal. A logistic regression is run and the probabilities are output to a data set NEW and given the variable name PE. A decision rule considered is, "Classify data as an event if probability is greater than 0.5." Also the data set NEW contains a variable TG that indicates whether there is an event (1=Event, 0= No event). 
The following SAS program was used. 
  
What does this program calculate?
  1. Depth
  2. Sensitivity
  3. Specificity
  4. Positive predictive value
Correct answer: B
Question 3
Refer to the exhibit: 
  
The plots represent two models, A and B, being fit to the same two data sets, training and validation. 
Model A is 90.5% accurate at distinguishing blue from red on the training data and 75.5% accurate at doing the same on validation data. Model B is 83% accurate at distinguishing blue from red on the training data and 78.3% accurate at doing the same on the validation data. 
Which of the two models should be selected and why?
  1. Model A. It is more complex with a higher accuracy than model B on training data.
  2. Model A. It performs better on the boundary for the training data.
  3. Model B. It is more complex with a higher accuracy than model A on validation data.
  4. Model B. It is simpler with a higher accuracy than model A on validation data.
Correct answer: D
Question 4
Assume a $10 cost for soliciting a non-responder and a $200 profit for soliciting a responder. The logistic regression model gives a probability score named P_R on a SAS data set called VALID. The VALID data set contains the responder variable Pinch, a 1/0 variable coded as 1 for responder. Customers will be solicited when their probability score is more than 0.05. 
Which SAS program computes the profit for each customer in the data set VALID? 
  
  1. Option A
  2. Option B
  3. Option C
  4. Option D
Correct answer: A
Question 5
In order to perform honest assessment on a predictive model, what is an acceptable division between training, validation, and testing data?
  1. Training: 50% Validation: 0% Testing: 50%
  2. Training: 100% Validation: 0% Testing: 0%
  3. Training: 0% Validation: 100% Testing: 0%
  4. Training: 50% Validation: 50% Testing: 0%
Correct answer: D
Question 6
Refer to the exhibit: 
  
Based upon the comparative ROC plot for two competing models, which is the champion model and why?
  1. Candidate 1, because the area outside the curve is greater
  2. Candidate 2, because the area under the curve is greater
  3. Candidate 1, because it is closer to the diagonal reference curve
  4. Candidate 2, because it shows less over fit than Candidate 1
Correct answer: B
Question 7
A marketing campaign will send brochures describing an expensive product to a set of customers. The cost for mailing and production per customer is $50. The company makes $500 revenue for each sale. 
What is the profit matrix for a typical person in the population? 
  
  1. Option A
  2. Option B
  3. Option C
  4. Option D
Correct answer: C
Question 8
A confusion matrix is created for data that were oversampled due to a rare target.  
What values are not affected by this oversampling?
  1. Sensitivity and PV+
  2. Specificity and PV-
  3. PV+ and PV-
  4. Sensitivity and Specificity
Correct answer: D
Question 9
This question will ask you to provide missing code segments. 
A logistic regression model was fit on a data set where 40% of the outcomes were events (TARGET=1) and 60% were non-events (TARGET=0). The analyst knows that the population where the model will be deployed has 5% events and 95% non-events. The analyst also knows that the company's profit margin for correctly targeted events is nine times higher than the company's loss for incorrectly targeted non-event. 
Given the following SAS program: 
  
What X and Y values should be added to the program to correctly score the data?
  1. X=40, Y=10
  2. X=.05, Y=10
  3. X=.05, Y=.40
  4. X=.10.Y=05
Correct answer: B
Question 10
An analyst has a sufficient volume of data to perform a 3-way partition of the data into training, validation, and test sets to perform honest assessment during the model building process. 
What is the purpose of the test data set?
  1. To provide a unbiased measure of assessment for the final model.
  2. To compare models and select and fine-tune the final model.
  3. To reduce total sample size to make computations more efficient.
  4. To build the predictive models.
Correct answer: A
HOW TO OPEN VCE FILES

Use VCE Exam Simulator to open VCE files
Avanaset

HOW TO OPEN VCEX AND EXAM FILES

Use ProfExam Simulator to open VCEX and EXAM files
ProfExam Screen

ProfExam
ProfExam at a 20% markdown

You have the opportunity to purchase ProfExam at a 20% reduced price

Get Now!